超导是一种物理现象,材料的电阻在某个临界温度下降至零。Bardeen-Cooper-Schrieffer (BCS) 理论是一种行之有效的解释,它描述了大多数材料中的超导性。它指出,库珀电子对在足够低的温度下在晶格中形成,并且 BCS 超导性源于它们的凝聚。虽然石墨烯本身是一种极好的电导体,但由于电子-声子相互作用的抑制,它不表现出 BCS 超导性。这也是大多数“好”导体(例如金和铜)是“坏”超导体的原因。
基础科学研究所(IBS,韩国)复杂系统理论物理中心 (PCS) 的研究人员报告了一种新的替代机制,可在石墨烯中实现超导性。他们通过提出由石墨烯和二维玻色-爱因斯坦凝聚物 (BEC) 组成的混合系统实现了这一壮举。这项研究发表在2D 材料杂志上。

一种混合系统,由石墨烯中的电子气(顶层)组成,与二维玻色-爱因斯坦凝聚态分离,
由间接激子(蓝色和红色层)表示。石墨烯中的电子和激子通过库仑力耦合。

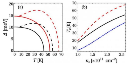
(a) 带温度校正(虚线)和不带温度校正(实线)的 bogolon 介导过程的超导间隙的温度依赖性。(b) 超导转变的临界温度与冷凝物密度的函数关系,用于 bogolon 介导的相互作用,有(红色虚线)和没有(黑色实线)温度校正。蓝色点划线显示了 BKT 转变温度作为冷凝物密度的函数。
除了超导性,BEC 是另一种在低温下产生的现象。它是爱因斯坦在 1924 年首次预测的第五种物质状态。 BEC 的形成发生在低能原子聚集在一起并进入相同的能量状态时,是凝聚态物理中广泛研究的领域。混合玻色-费米系统本质上代表了一层电子与一层玻色子相互作用,例如间接激子、激子-极化子等。玻色和费米粒子之间的相互作用导致了各种新奇的迷人现象,这引起了双方的兴趣。基本的和面向应用的观点。
在这项工作中,研究人员报告了石墨烯中一种新的超导机制,这是由于电子和“bogolons”之间的相互作用而不是典型 BCS 系统中的声子。Bogolons 或 Bogoliubov 准粒子是 BEC 内的激发,它具有粒子的某些特征。在某些参数范围内,这种机制允许石墨烯内的超导临界温度高达 70 开尔文。研究人员还开发了一种新的微观 BCS 理论,该理论特别关注基于新型混合石墨烯的系统。他们提出的模型还预测超导特性可以随温度增强,从而导致超导间隙的非单调温度依赖性。
此外,研究表明,石墨烯的狄拉克色散在这种 bogolon 介导的方案中得以保留。这表明这种超导机制涉及具有相对论性色散的电子,这种现象在凝聚态物理中没有得到很好的探索。
这项工作揭示了实现高温超导的另一种方法。同时,通过控制凝聚物的特性,我们可以调整石墨烯的超导性。这表明未来控制超导器件的另一种渠道。Ivan Savenko,PCS IBS 纳米结构光-物质相互作用 (LUMIN) 团队的负责人。